February 22, 2026

MOSFET Process Characterization Guide

Extracting simple MOSFET model variables from a complex model file.

Reference python code and LTSpice schematics for this blog are available here.

Example MOSFET model file is available here.

Introduction

Often when working with MOSFETs you may want to work a problem out by hand. You may do this for any number of reasons, but one may be just to do some quick calculations by hand as opposed to setting up a full simulation. This way, you can do the math symbolically and compute any parameters you may be looking for.

However, modern MOSFET model files have hundreds of different parameters, which makes this completely impractical. We really just want to use a basic level 1 model for our by-hand estimations.

Thankfully, we can perform "process characterization." This allows us to extract a level 1 MOSFET model, which we can solve by hand. This level 1 MOSFET model is relatively simple, and its equation (when saturated) are defined by the equation below (NMOS shown, PMOS similar, see below for more info):

ID=12k(wl)(VGSVT)2(1+λVDS)VT=VT0+γ[2ϕF+VSB2ϕF]\begin{align*} I_{D} & = \frac{1}{2} \cdot k' \left(\frac{w}{l}\right) \left( V_{GS} - V_{T} \right)^2 \left( 1 + \lambda V_{DS} \right)\\ V_{T} & = V_{T0} + \gamma \left[ \sqrt{2\phi_{F} + V_{SB}} - \sqrt{2\phi_{F}} \right] \end{align*}

The first equation is the MOSFET drain current equation, and the second equation is the body-effect equation. Using these equations we can determine just a few parameters that model the MOSFET fairly well: kk', VT0V_{T0}, 2ϕF2\phi_{F}, γ\gamma, and λ\lambda. Note that these equations are for NMOS devices, PMOS devices are similar, see my note in the conclusion for more info.

For this demo, I'll be using LTSpice and this advanced MOSFET model. As you can see from the model file, it is much more complicated than the above equations and parameters.

Finding kk' and VT0V_{T0}

To get started, we will first be finding the kk' and VT0V_{T0} values.

First, we're going to bias up our MOSFET by sending a bias current, IbiasI_{bias}, through it. We have the MOSFET in a diode-connected orientation, this means the gate and drain are tied together and at the same potential. We also have a current source VSBV_{SB} which will be used to invoke the body-effect by causing the source and body to be at different potentials.

Here is the LTSpice schematic:

spice_nmos_single

For now, we are only interested in the dc sweep of IbiasI_{bias} where VSB=0VV_{SB} = 0\mathrm{V}.

Note that our ll value is relatively large for this process, this is ideal to minimize the effects of λ\lambda. This is also a good time to mention that all of these values may vary depending on the process you are trying to characterize, you should use appropriate bias points, and MOSFET geometries for your process.

Since we're minimizing the channel length modulation, λ\lambda, we will remove it from the drain current equation. Additionally, since we're using the step where VSB=0VV_{SB} = 0\mathrm{V}, we can say that VT=VT0V_{T} = V_{T0} and thus we get the simplified drain current equation:

ID=12k(wl)(VGSVT0)2 I_{D} = \frac{1}{2} \cdot k' \left( \frac{w}{l}\right) \left( V_{GS} - V_{T0} \right)^{2}

We can then rearrange this equation as such:

ID=(kw2l)12(VGSVT0)VGS=(kw2l)12ID+VT0\begin{align*} \sqrt{I_{D}} & = \left(\frac{k' \cdot w}{2 l}\right)^{\frac{1}{2}} \left( V_{GS} - V_{T0} \right) \\ V_{GS} & = \left(\frac{k' \cdot w}{2 l}\right)^{-\frac{1}{2}} \cdot \sqrt{I_{D}} + V_{T0} \\ \end{align*}

If you look closely at the final line, you can see it is in the form of y=mx+by=mx+b where both mm and bb contain the parameters we wish to extract from the model, and xx and yy are values we can plot in LTSpice.

Finally we can extract kk' and VT0V_{T0}:

m=(kw2l)12m2=2lkwk=2lm2wVT0=b\begin{align*} m & = \left(\frac{k' \cdot w}{2 l}\right)^{-\frac{1}{2}} \\ m^{2} & = \frac{2 l}{k' \cdot w} \\ k' & = \frac{2 l}{m^{2} \cdot w} & V_{T0} & = b \end{align*}

In order to analyze our LTSpice data, we will first run the simulation, then we will plot the V(Vgs) node, then finally we will need to export it as a text file, here I've saved it as nmos_single_data.txt:

spice_nmos_single_gif

Next, we need to perform a linear fit on the data, to do so, we're going to use python as it's pretty easy to work with. We use the numpy polyfit method to fit the data. below is a quick snippet showing a simple example of how to do this:

# MOSFET length and width.
L = 2e-6
W = 10e-6

# Make sure we're fitting over the sqrt of the drain current.
sqrt_i_d = np.sqrt(i_d)

# Perform the linear fit.
m, b = np.polyfit(sqrt_i_d, v_gs, deg=1)

# Extract the process variables.
k_prime = (2 * L) / (W * (m**2))
v_t0 = b # This is only Vt0 if the source-body voltage is 0V!

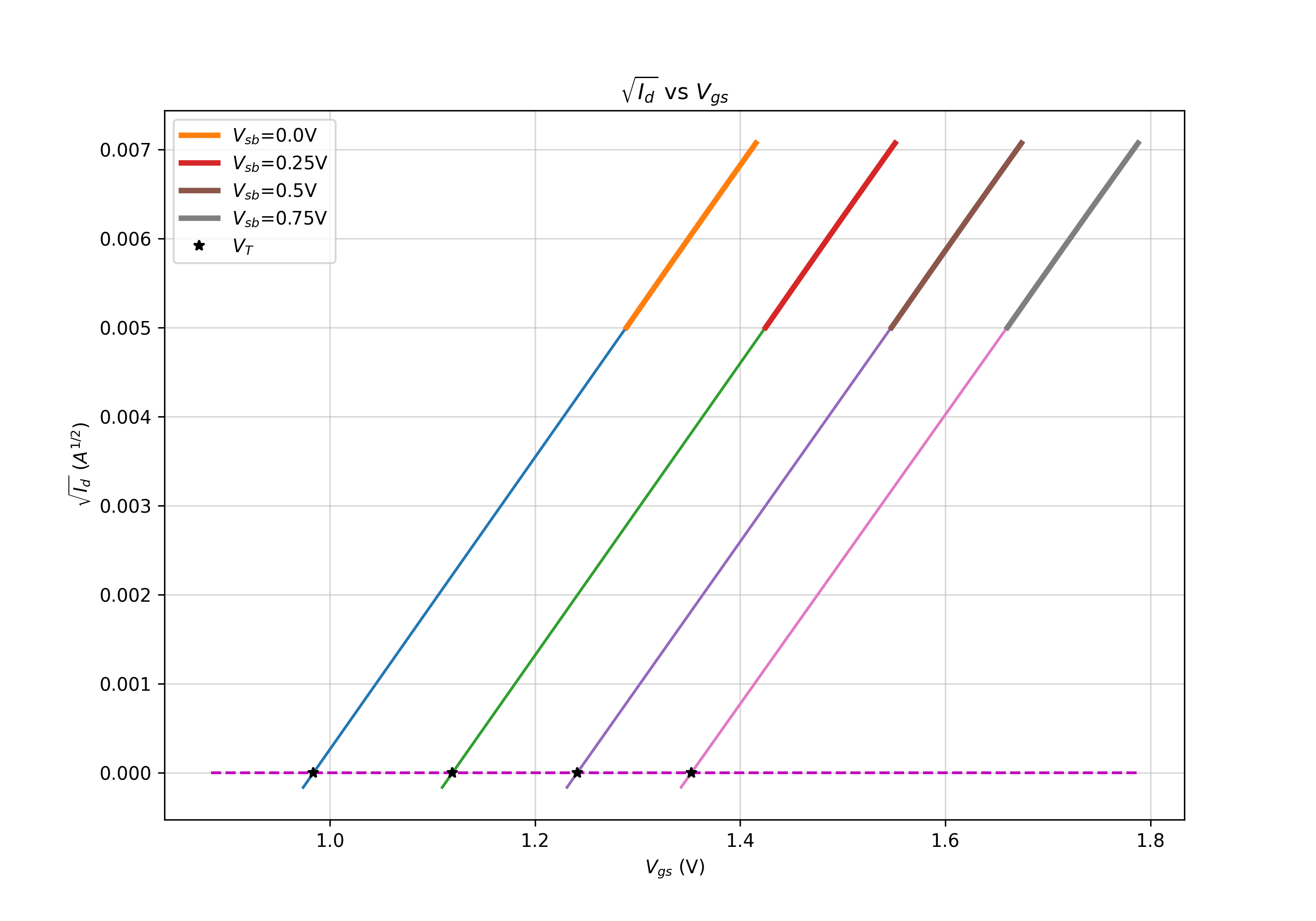
Below I've plotted the square-root of the drain current on the y-axis and the gate voltage on the x-axis. the slope of this line is our kk' value, and the point where the line crosses the x-axis is our VTV_T value, specifically, for when the source-body voltage is zero, our VTV_T value becomes VT0V_{T0}.

graph_nmos_sqrt_id_vs_vgate

Finding 2ϕF2\phi_{F}

Let's recall the threshold voltage equation from above:

VT=VT0+γ[2ϕF+VSB2ϕF]\begin{align*} V_{T} & = V_{T0} + \gamma \left[ \sqrt{2\phi_{F} + V_{SB}} - \sqrt{2\phi_{F}} \right] \end{align*}

First, in order to estimate 2ϕF2\phi_{F}, we need to eliminate γ\gamma from the equation. To do this, we'll define αn\alpha_{n} (where nn refers to a different VSBV_{SB} step) such that:

αn=VTnVT0\begin{align*} \alpha_{n} & = V_{Tn} - V_{T0} \end{align*}

As before when we found VT0V_{T0}, we can do the same thing, except we will use different VSBV_{SB} values, where VSB0VV_{SB} \ne 0\mathrm{V}. From the same LTSpice schematic above, you can see that I used VSBV_{SB} values of 0.25V, 0.5V, and 0.75V, (along with our VT0V_{T0} step, where VSB=0VV_{SB} = 0\mathrm{V}).

After we calculate these αn\alpha_{n} values, we can eliminate γ\gamma by creating two ratios:

α2α1=γ[2ϕF+VSB22ϕF]γ[2ϕF+VSB12ϕF]andα3α2=γ[2ϕF+VSB32ϕF]γ[2ϕF+VSB22ϕF]\begin{gather*} \frac{\alpha_2}{\alpha_1} = \frac{\gamma \left[ \sqrt{2\phi_{F} + V_{SB2}} - \sqrt{2\phi_{F}} \right]}{\gamma \left[ \sqrt{2\phi_{F} + V_{SB1}} - \sqrt{2\phi_{F}} \right]} \quad \text{and} \quad \frac{\alpha_3}{\alpha_2} = \frac{\gamma \left[ \sqrt{2\phi_{F} + V_{SB3}} - \sqrt{2\phi_{F}} \right]}{\gamma \left[ \sqrt{2\phi_{F} + V_{SB2}} - \sqrt{2\phi_{F}} \right]} \end{gather*}

As you can see, the γ\gamma value will cancel out in each ratio, leaving us with only the unknown 2ϕF2\phi_{F} value. In order to extract the 2ϕF2\phi_{F} value, we will sweep through a range of values in order to find the 2ϕF2\phi_{F} value which most accurately represents the "observed" α\alpha ratio value. So to be more precise, we will minimize the 2-norm error, e12+e22\sqrt{\left.e_{1}\right.^{2} + \left.e_{2}\right.^{2}}, defined by the following:

e1=[2ϕF+VSB22ϕF][2ϕF+VSB12ϕF]α2α1ande2=[2ϕF+VSB32ϕF][2ϕF+VSB22ϕF]α3α2\begin{gather*} e_{1} = \frac{\left[ \sqrt{2\phi_{F} + V_{SB2}} - \sqrt{2\phi_{F}} \right]}{\left[ \sqrt{2\phi_{F} + V_{SB1}} - \sqrt{2\phi_{F}} \right]} - \frac{\alpha_2}{\alpha_1} \quad \text{and} \quad e_{2} = \frac{\left[ \sqrt{2\phi_{F} + V_{SB3}} - \sqrt{2\phi_{F}} \right]}{\left[ \sqrt{2\phi_{F} + V_{SB2}} - \sqrt{2\phi_{F}} \right]} - \frac{\alpha_3}{\alpha_2} \end{gather*}

Let's see what this looks like in python:

# Calculate our alpha values.
a1 = v_t_vals[1] - v_t_vals[0]
a2 = v_t_vals[2] - v_t_vals[0]
a3 = v_t_vals[3] - v_t_vals[0]

# Lambda function which returns the portion of the
# body-effect equation which is multiplied by gamma.
# sqrt( 2phi_f + Vsb ) - sqrt( 2phi_f )
gamma_term = lambda tpf, vb: np.sqrt(tpf + vb) - np.sqrt(tpf)

# Lambda functions which calculate the e1 and e2 errors for a given 2phi_f value.
e1 = lambda tpf: (
    gamma_term(tpf, v_b_vals[2]) / gamma_term(tpf, v_b_vals[1])
) - (a2 / a1)
e2 = lambda tpf: (
    gamma_term(tpf, v_b_vals[3]) / gamma_term(tpf, v_b_vals[2])
) - (a3 / a2)

# Lambda function to calculate the two-norm error.
twonorm = lambda e1, e2: np.sqrt(e1**2 + e2**2)

# Create a sweep of 2phi_f values within a reasonable range.
tpf_vals = np.linspace(0.3, 1.3, 10_000)
# Calculate the two-norm residual value for each 2phi_f estimate.
residuals = np.array([twonorm(e1(tpf), e2(tpf)) for tpf in tpf_vals])

# Get the index of the lowest two-norm error.
best_index = np.argmin(residuals)
# Extract 2phi_f to be the best estimate
two_phi_f = tpf_vals[best_index]

Here I've plotted out the 2-norm error vs. a range of 2ϕF2\phi_F estimates:

graph_nmos_two_phi_f

Finding γ\gamma

Now that we have a value for 2ϕF2\phi_{F}, we can take another look at the threshold voltage equation:

VT=VT0+γ[2ϕF+VSB2ϕF]\begin{align*} V_{T} & = V_{T0} + \gamma \left[ \sqrt{2\phi_{F} + V_{SB}} - \sqrt{2\phi_{F}} \right] \end{align*}

Once again, we see it's in the form of a linear function, where VTV_{T} is the yy value, [2ϕF+VSB2ϕF]\left[ \sqrt{2\phi_{F} + V_{SB}} - \sqrt{2\phi_{F}} \right] is the xx value. From this, we can extract γ\gamma which is the slope, mm, of this linear fit.

Just like before, we can use numpy to extract this value:

# Setup the x and y values for the linear fit.
# Note: we're using some variables and lambda functions from the 2phi_f step.
x_vals = np.array([gamma_term(two_phi_f, vb) for vb in v_b_vals])
y_vals = v_t_vals - v_t_vals[0]

# We only need the m value since we moved the intercept over. y-b = mx
m = np.polyfit(x_vals, y_vals, deg=1)
# Extract our estimated gamma value.
gamma = m

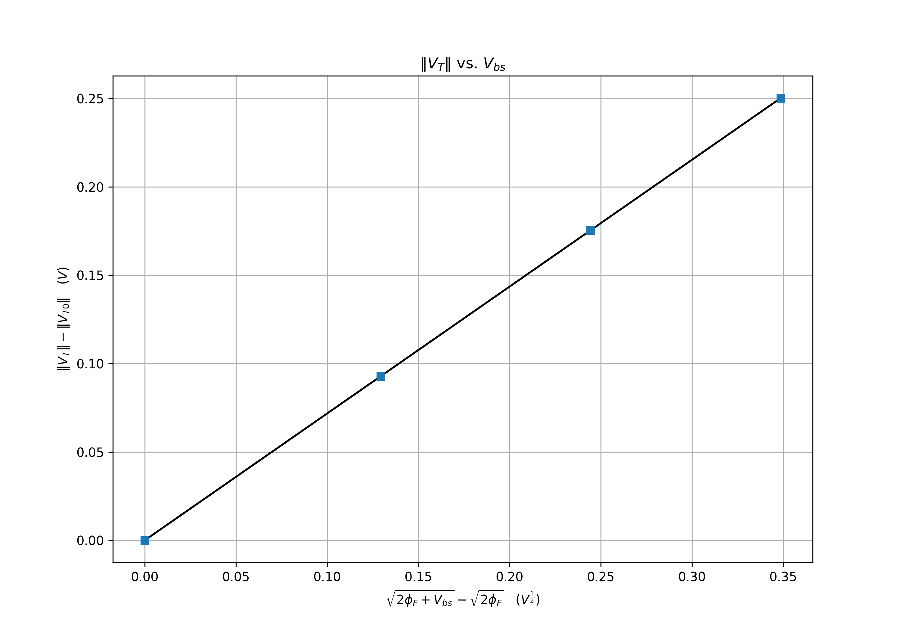
Here, I am plotting VTVT0V_T - V_{T0}, vs. 2ϕF+VSB2ϕF\sqrt{2\phi_{F} + V_{SB}} - \sqrt{2\phi_{F}}, all values which we have either can get directly from the simulation or have already characterized in previous steps. The γ\gamma value is the slope of this graph.

graph_nmos_vt_vs_vbody

Finding λ\lambda

Finally, all we have left to estimate is the λ\lambda value. This value represents the channel length modulation, and as such is dependent on the device geometry. Because of this, we must calculate the λ\lambda for each channel length we may be interested in, so we'll calculate a few values.

Let's recall the full drain current equation:

ID=12k(wl)(VGSVT)2(1+λVDS)\begin{gather*} I_{D} = \frac{1}{2} \cdot k' \left(\frac{w}{l}\right) \left( V_{GS} - V_{T} \right)^2 \left( 1 + \lambda \cdot V_{DS} \right) \end{gather*}

As you can see, λ\lambda affects the drain current proportional to the drain-source voltage. This means we can simplify the drain current equation as such:

ID=ID0λVDS+ID0\begin{gather*} I_{D} = I_{D0} \cdot \lambda \cdot V_{DS} + I_{D0} \end{gather*}

Where ID0I_{D0} is the drain current without the (1+λVDS)(1+\lambda \cdot V_{DS}) term. Once again, we see this is in the form of a line, where the IDI_{D} is yy, VDSV_{DS} is xx, ID0λI_{D0} \cdot \lambda is mm, and ID0I_{D0} is bb.

To set this up in LTSpice, we will use a simple current mirror, this lets us have two identical and matched MOSFETs which helps to cancel out any other process variations. We pass a bias current though the diode connected MOSFET which will bias up the second MOSFET, eliminating the other process characteristics. We can then vary the VDSV_{DS} of the second MOSFET to see how λ\lambda affects it. Below is an image of the LTSpice schematic:

nmos_mirror_spice

Let's briefly take a glance at what the plot looks like first to see what we're getting into:

graph_nmos_id_vs_vds

As you can see on the far left, the MOSFET is in the triode / linear region, this is not what we're looking for and there are different equations that model the MOSFET during this region. Secondly, on the far right you can see how the slope on some graphs continue to rise the higher VDSV_{DS} gets, this is a phenomenon known as punch-through and again is a non-ideality we don't want to capture in our estimation.

In order to mitigate this and extract the best estimate we can, we want to take a relatively small slice of the plot, say 200mV, shortly after the MOSFET is saturated.

Once again, we can use python and numpy to do just that:

# Start linear fit at 700mV.
v_start = 0.7
# Use a 200mV slice.
v_range = 0.2
# Get the end of the slice.
v_end = v_start + v_range

# Array to store the lambda estimate for each channel length.
lambda_vals = []

# Iterate over each plot from LTSpice, one for each channel length.
for sweep in sweeps:
    # Create a mask to filter only the slice we're interested in.
    mask = (sweep.v_ds >= v_start) & (sweep.v_ds <= v_end)

    m, b = np.polyfit(sweep.v_ds[mask], sweep.i_d[mask], deg=1)

    # Since m = Id0 * lambda, and b = Id0
    # We can isolate lambda by doing m / b
    lambda_vals.append(m / b)

Below, I've graphed IDI_D vs. VDSV_{DS}, and I've also highlighted in yellow the region in which we estimate the λ\lambda value. λ\lambda is the slope of this highlighted region.

graph_nmos_id_vs_vds

Additionally, I've graphed the λ\lambda value for many different channel lengths, you can see how much smaller channel lengths affect the λ\lambda value. You can also see how previously we were able to ignore the λ\lambda value by choosing a "large" channel length, you can see that there is clearly still some effect, but it is much reduced, and mostly negligible.

graph_nmos_lambdas

Extracting Variables for PMOS devices

As we have shown through all the previous steps with NMOS devices, the process is relatively simple, just requires a bit of setup. The process is nearly identical for PMOS devices, however we must be cautious since PMOS devices are effectively "backwards" from NMOS devices.

All the voltages measured on a PMOS device must be inverted from the standard NMOS definition. For instance, VGSV_{GS} on an NMOS should be VSGV_{SG} on a PMOS device. If you take care to properly do all of the inversions, the same code which will characterize an NMOS will also characterize a PMOS. All values should be positive, except for VT0pV_{T0p}, however, if you take care to use the absolute value when appropriate, you can use the VT0p\|V_{T0p}\| value and extract the other variables using the same script.

To get a grasp of what I mean, here are the two PMOS LTSpice schematics:

spice_pmos_single spice_pmos_mirror

Additionally here are all of the resultant graphs from the scripts, note the reversal of all voltage references from the NMOS version and the absolute value of VTV_T / VT0V_{T0}:

graph_pmos_sqrt_id_vs_vgate graph_pmos_two_phi_f graph_pmos_vt_vs_vbody graph_pmos_id_vs_vds graph_pmos_lambdas

Conclusion

Finally! We have now fully process characterized the MOSFET model, and can use it however we please. Below are the results I extracted from the demo model file:

Results

NMOS

ParameterValue
knk_{n}'107.564μA/V2107.564\, \mathrm{\mu A/V^{2}}
VT0nV_{T0n}983.833mV983.833\, \mathrm{mV}
2ϕFn2\phi_{Fn}914.891mV914.891\, \mathrm{mV}
γn\gamma_{n}1.104V1/21.104\, \mathrm{V^{1/2}}
λn(ln=0.3μm)\lambda_{n} \quad (l_{n}=0.3\,\mathrm{\mu m})1.464V11.464\,\mathrm{V^{-1}}
λn(ln=0.5μm)\lambda_{n} \quad (l_{n}=0.5\,\mathrm{\mu m})163.631mV1163.631\,\mathrm{mV^{-1}}
λn(ln=0.7μm)\lambda_{n} \quad (l_{n}=0.7\,\mathrm{\mu m})80.140mV180.140\,\mathrm{mV^{-1}}
λn(ln=1.0μm)\lambda_{n} \quad (l_{n}=1.0\,\mathrm{\mu m})62.217mV162.217\,\mathrm{mV^{-1}}

PMOS

ParameterValue
kpk_{p}'33.094μA/V233.094\, \mathrm{\mu A/V^{2}}
VT0pV_{T0p}1.034V-1.034\, \mathrm{V}
2ϕFp2\phi_{Fp}811.881mV811.881\, \mathrm{mV}
γp\gamma_{p}717.649mV1/2717.649\, \mathrm{mV^{1/2}}
λp(lp=0.3μm)\lambda_{p} \quad (l_{p}=0.3\,\mathrm{\mu m})604.375mV1604.375\,\mathrm{mV^{-1}}
λp(lp=0.5μm)\lambda_{p} \quad (l_{p}=0.5\,\mathrm{\mu m})252.809mV1252.809\,\mathrm{mV^{-1}}
λp(lp=0.7μm)\lambda_{p} \quad (l_{p}=0.7\,\mathrm{\mu m})158.408mV1158.408\,\mathrm{mV^{-1}}
λp(lp=1.0μm)\lambda_{p} \quad (l_{p}=1.0\,\mathrm{\mu m})103.917mV1103.917\,\mathrm{mV^{-1}}

Finished here? See the latest posts or head home.

Questions, comments, or concerns? Contact me.

Copyright © 2026 Jeffrey Morris, All Rights Reserved.